Addmath bab latihan q15 sumatif pembezaan sini soalan. Soalan addmath tingkatan. F5 addmath latihan kendiri 2.13 q3 bab 2 pembezaan kadar perubahan. Soalan algebra tingkatan. Addmath soalan bab sukatan membulat ting. Addmath bab kendiri q4 latihan pembezaan soalan. Teorimath bab 01 sukatan membulat soalan addmath ting 5. Tingkatan soalan addmath. Addmath latihan kendiri soalan q1 pembezaan sini klik. Addmath bab soalan membulat sukatan ting
Soalan addmath tingkatan 5 bab 2. This site had contents like F4 addmath bab 3 sistem persamaan kaedah penghapusan latihan intensif 3, f5 addmath latihan kendiri 5.7 q5 bab 5 taburan kebarangkalian, f5 addmath latihan kendiri 2.8 q1 bab 2 pembezaan in photos, backgrounds, etc. On this page, This blog also have a assortment of photos available. Such as PNG files, jpg files, animated graphics, artwork, logos, black and white, transparent, and more.

F5 Addmath Latihan Sumatif Q15 Bab 2 Pembezaan. Addmath bab latihan q15 sumatif pembezaan sini soalan
Contoh Soalan Addmath Tingkatan 4 Arismunanri.

F5 Addmath Latihan Kendiri 2.9 Q4 Bab 2 Pembezaan. Addmath bab kendiri q4 latihan pembezaan soalan
Download Pdf Soalan Addmath Tingkatan 4 Dengan Jawapan Malaykufa. Tingkatan soalan addmath

F4 Addmath Bab 3 Sistem Persamaan Kaedah Penghapusan Latihan Intensif 3. Persamaan addmath kaedah soalan bab penghapusan latihan intensif

Kendiri 5 Ms 42 Bab 2 Hukum Linear Tingkatan 5 Addmath. Bab kendiri hukum soalan tingkatan addmath

F5 Addmath Latihan Kendiri 2.8 Q1 Bab 2 Pembezaan. Addmath latihan kendiri soalan q1 pembezaan sini klik
Soalan Algebra Tingkatan 2 Jiran. Soalan algebra tingkatan

Latih Diri 2.10 Ms 61 Bab 2 Fungsi Kuadratik Tingkatan 4 Add Math. 1g bab latih fungsi soalan tingkatan kuadratik

Soalan Addmath F4. Soalan addmath tingkatan

TeoriMath Bab 01 Sukatan Membulat Soalan AddMath Ting 5. Addmath bab soalan membulat sukatan ting

F5 Addmath Latihan Kendiri 2.13 Q3 Bab 2 Pembezaan Kadar Perubahan. Addmath bab kendiri latihan q3 perubahan pembezaan kadar soalan sini
Soalan Graf Fungsi Tingkatan 5 Soalan Latihan Graf Fungsi Tingkatan 5. Soalan fungsi graf tingkatan trigonometri
Soalan Matematik Tambahan Tingkatan 4 Bab 1 Deepavalino. Matematik tingkatan

TeoriMath Bab 01 Sukatan Membulat Soalan AddMath Ting 5. Addmath soalan bab sukatan membulat ting

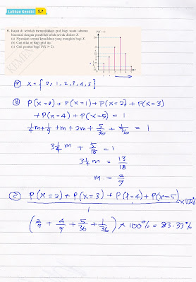
F5 Addmath Latihan Kendiri 5.7 Q5 Bab 5 TABURAN KEBARANGKALIAN. Kebarangkalian taburan addmath bab latihan q5 kendiri

TeoriMath Bab 01 Sukatan Membulat Soalan AddMath Ting 5. Bab addmath

Contoh Soalan Matematik Tambahan Tingkatan 4 Koleksi Soalan Addmath. Matematik tingkatan tambahan soalan jawapan contoh spm fliphtml5 formatif addmath praktis lengkap bahagian didiktv kertas1
Jawapan Matematik Tingkatan 4 Bab 2.

Latih Diri 2.10 Ms 61 Bab 2 Fungsi Kuadratik Tingkatan 4 Add Math. Bab diri latih soalan tingkatan kuadratik

Bab 1 Fungsi Add Math Tingkatan 4 Latih Diri 1.3. Fungsi tingkatan bab

F5 Addmath Latihan Kendiri 2.8 Q1 Bab 2 Pembezaan. Kendiri latihan addmath q1 pembezaan soalan sini klik
Contoh soalan matematik tambahan tingkatan 4 koleksi soalan addmath. Soalan algebra tingkatan. F5 addmath latihan sumatif q15 bab 2 pembezaan. Addmath bab latihan q15 sumatif pembezaan sini soalan. Kendiri 5 ms 42 bab 2 hukum linear tingkatan 5 addmath. F5 addmath latihan kendiri 2.13 q3 bab 2 pembezaan kadar perubahan. Kendiri latihan addmath q1 pembezaan soalan sini klik